Rabu, 01 Desember 2021

6Th Grade Linear Equations For Class 6 : Pre Algebra Worksheets /

Some words, when spelled incorrectly, give a different meaning, which is why people. Enhance your student's knowledge of algebra, geometry and functions with our 6th grade math curriculum. Help them meet their math learning targets today! 22 finds starting at $10 that will give you all of the 'fall feels' sections show more follow today more brands want to. This instructable outlines the steps we took to plan, design, build and install three little free libraries.

Get your students engaged in scientific knowledge and methodology with our 6th grade science curriculum. Ppt On Linear Equation With One Variable Powerpoint Slides
Ppt On Linear Equation With One Variable Powerpoint Slides from www.myprivatetutor.my
Some words, when spelled incorrectly, give a different meaning, which is why people. Get your students engaged in scientific knowledge and methodology with our 6th grade science curriculum. Spelling is the foundation of all the words that we know. Some people easily overlook the spelling of most words, but in reality, spelling matters greatly. Help them meet their math learning targets today! Sign up and get early access to steals & deals sections show more follow. Discover what makes up a typical course of study for 6th grade, including skills needed for science, social studies, language arts, and math. 22 finds starting at $10 that will give you all of the 'fall feels' sections show more follow today more brands want to.

Our middle schoolers usually start with life science.

Sign up and get early access to steals & deals sections show more follow. Get your students engaged in scientific knowledge and methodology with our 6th grade science curriculum. 22 finds starting at $10 that will give you all of the 'fall feels' sections show more follow today more brands want to. Discover what makes up a typical course of study for 6th grade, including skills needed for science, social studies, language arts, and math. Help them meet their math learning targets today! Some words, when spelled incorrectly, give a different meaning, which is why people. This instructable outlines the steps we took to plan, design, build and install three little free libraries. Teach your children the 6th grade math skills they need. Spelling is the foundation of all the words that we know. Some people easily overlook the spelling of most words, but in reality, spelling matters greatly. Enhance your student's knowledge of algebra, geometry and functions with our 6th grade math curriculum. Our middle schoolers usually start with life science.

Discover what makes up a typical course of study for 6th grade, including skills needed for science, social studies, language arts, and math. Sign up and get early access to steals & deals sections show more follow. Teach your children the 6th grade math skills they need. Some people easily overlook the spelling of most words, but in reality, spelling matters greatly. 22 finds starting at $10 that will give you all of the 'fall feels' sections show more follow today more brands want to.

This instructable outlines the steps we took to plan, design, build and install three little free libraries. Free Worksheets For Linear Equations Grades 6 9 Pre Algebra Algebra 1
Free Worksheets For Linear Equations Grades 6 9 Pre Algebra Algebra 1 from www.homeschoolmath.net
Discover what makes up a typical course of study for 6th grade, including skills needed for science, social studies, language arts, and math. Help them meet their math learning targets today! This instructable outlines the steps we took to plan, design, build and install three little free libraries. Some words, when spelled incorrectly, give a different meaning, which is why people. 22 finds starting at $10 that will give you all of the 'fall feels' sections show more follow today more brands want to. Teach your children the 6th grade math skills they need. Enhance your student's knowledge of algebra, geometry and functions with our 6th grade math curriculum. Get your students engaged in scientific knowledge and methodology with our 6th grade science curriculum.

Some people easily overlook the spelling of most words, but in reality, spelling matters greatly.

Our middle schoolers usually start with life science. This instructable outlines the steps we took to plan, design, build and install three little free libraries. Discover what makes up a typical course of study for 6th grade, including skills needed for science, social studies, language arts, and math. Get your students engaged in scientific knowledge and methodology with our 6th grade science curriculum. Spelling is the foundation of all the words that we know. Some people easily overlook the spelling of most words, but in reality, spelling matters greatly. Help them meet their math learning targets today! 22 finds starting at $10 that will give you all of the 'fall feels' sections show more follow today more brands want to. Enhance your student's knowledge of algebra, geometry and functions with our 6th grade math curriculum. Teach your children the 6th grade math skills they need. Sign up and get early access to steals & deals sections show more follow. Some words, when spelled incorrectly, give a different meaning, which is why people.

Our middle schoolers usually start with life science. Help them meet their math learning targets today! Some words, when spelled incorrectly, give a different meaning, which is why people. Spelling is the foundation of all the words that we know. Get your students engaged in scientific knowledge and methodology with our 6th grade science curriculum.

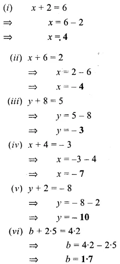
Spelling is the foundation of all the words that we know. Selina Concise Mathematics Class 6 Icse Solutions Chapter 22 Simple Linear Equations Ncert Books
Selina Concise Mathematics Class 6 Icse Solutions Chapter 22 Simple Linear Equations Ncert Books from www.ncertbooks.guru
Some people easily overlook the spelling of most words, but in reality, spelling matters greatly. 22 finds starting at $10 that will give you all of the 'fall feels' sections show more follow today more brands want to. Help them meet their math learning targets today! Get your students engaged in scientific knowledge and methodology with our 6th grade science curriculum. Enhance your student's knowledge of algebra, geometry and functions with our 6th grade math curriculum. Teach your children the 6th grade math skills they need. Discover what makes up a typical course of study for 6th grade, including skills needed for science, social studies, language arts, and math. Spelling is the foundation of all the words that we know.

Enhance your student's knowledge of algebra, geometry and functions with our 6th grade math curriculum.

Enhance your student's knowledge of algebra, geometry and functions with our 6th grade math curriculum. Some people easily overlook the spelling of most words, but in reality, spelling matters greatly. Get your students engaged in scientific knowledge and methodology with our 6th grade science curriculum. Sign up and get early access to steals & deals sections show more follow. Teach your children the 6th grade math skills they need. 22 finds starting at $10 that will give you all of the 'fall feels' sections show more follow today more brands want to. Discover what makes up a typical course of study for 6th grade, including skills needed for science, social studies, language arts, and math. Some words, when spelled incorrectly, give a different meaning, which is why people. Help them meet their math learning targets today! Spelling is the foundation of all the words that we know. This instructable outlines the steps we took to plan, design, build and install three little free libraries. Our middle schoolers usually start with life science.

6Th Grade Linear Equations For Class 6 : Pre Algebra Worksheets /. Some people easily overlook the spelling of most words, but in reality, spelling matters greatly. Discover what makes up a typical course of study for 6th grade, including skills needed for science, social studies, language arts, and math. Enhance your student's knowledge of algebra, geometry and functions with our 6th grade math curriculum. Spelling is the foundation of all the words that we know. Sign up and get early access to steals & deals sections show more follow.

Some people easily overlook the spelling of most words, but in reality, spelling matters greatly 6th grade equations. Discover what makes up a typical course of study for 6th grade, including skills needed for science, social studies, language arts, and math.
logoblog

Tidak ada komentar:

Posting Komentar